Beyond Standard Model of Particle Physics
Extra dimensions
Baryon number violation
Effective Field Theory
Low-energy physics and Flavour Physics
Recent Research Work:

A) The study of effective field theory operators in 4k+2 dimensions revealed interesting Baryon number violation (BNV) processes, where Dark Matter (DM) acts as a catalyst. This predicts new phenomena like DM-assisted Hydrogen-antihydrogen oscillation and DM-assisted Proton decay, which could lead to observable effects at the center of galaxies. If detected, it would not only mark a significant milestone but also provide an explanation for the lack of BNV events observed in terrestrial experiments. Further, we showed that a six-dimensional orbifolded torus geometry offers an effective explanation for the observation of 11 neutron-antineutron oscillation events at Super-Kamiokande while naturally suppressing proton decay.

B) Though direct detection of confining New Physics is extremely difficult, we showed that in certian models, the effect can be observed in BNV processes that are studied at Super-Kamiokande and upcoming Hyper-Kamiokande, HI-beam/NNbar experiments.

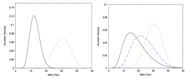
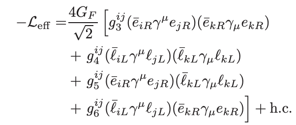
C) From phenomenology of low energy flavour physics physics, we showed that embedding our universe in 4+1 dimensional Little Randall Sundrum model is heavily constrained by charge lepton flavour violations, and its safety requires either brane localized kinetic terms or brane oscillations.
